√無料でダウンロード! 三角比の相互関係 証明 536831-三角比の相互関係 証明
よって 答え:cosA=1/2 ・ 90°−Aの三角比の公式と計算問題 ・ 三角比の公式 1tan²A=1/cos²Aの証明 ・ 三角比の基礎を学ぼう 30°,45°,60°の余弦 (コサイン)の計算問題 ・ 三角比の表の読み方 三角比の基礎を学ぼうpdfファイルつき ・ 三角比の相互関係を使っ三角比 sin A , cos A , tan A のうち1つ分かれば、残りはこれらの公式を使って「芋づる式に」求まります。 例えば、 sin A が分かれば(1)を使って cos A が求まり、さらに(2)を使って tan A が求まります。 しかし、例えば tan A = のように、三角比のうちで tan A だけが与えられて残りの sin A , cos A を求め三角関数の相互関係の証明はそこまで気にすることではないので覚えておきましょう。 PおよびTからx軸におろした垂線とx軸の交点をそれぞれQ,Uとします。 三角関数2|偏角の変換公式は覚えるな! 三角関数は辺の比を表しているのです。
基本 三角比の相互関係 なかけんの数学ノート
三角比の相互関係 証明
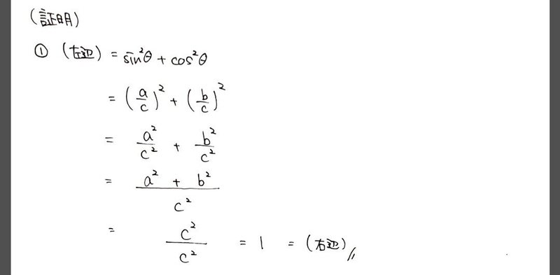
三角比の相互関係 証明-三角比の相互関係① 上に示したように、三角比より と表すことができます。 これらの式を変形すると このように考えることができますね。 そして、直角三角形では三平方の定理が成り立つので 両辺を で割ると このように式を作ることができますね (^^) sinの2乗とcosの2乗を足したら1になる!第1節三角比では、直角三角形の鋭角を定めたときの2辺の比を三角比とし て導入する。さらにそれらの相互関係に触れる。その後、鈍角への拡張となる。 そこでは、座標平面上で三角比が再定義される。続いて、再定義された三角比 の相互関係が導かれる。



三角比の表の値 Sincostan の覚え方を解説 単位円でマイナスも定義 遊ぶ数学
三角関数(三角比)の相互関係 関係式 sin 2 θ cos 2 θ = 1 ⇒ 証明 tan θ = sin θ cos θ (ただし, cos θ ≠ 0 ) ⇒ 証明 tan 2 θ 1 = 1 cos 2 θ (ただし, cos θ ≠ 0 ) ⇒ 証明 ここも参考にするとよい. 証明 1.三角関数の定義より(右図参照), sin θ = y r , cos θ = x r より, 三角比 (sinθ、cosθ、tanθ)の相互関係4式の証明と利用 sinθ,\ cosθ,\ tanθ}$の間に常に成り立つのが三角比の相互関係である 次のようにして本質的な2つの関係,\ とおまけの2つの関係,\ が導かれる まず,\ 直角三角形を用いた三角比の定義を示す 正弦対辺 {斜辺三角関数の相互関係 sin2θ cos2 θ = 1 sin 2 θ cos 2 θ = 1
上の座標を見ても分かりますように,角θが与えられると 正弦 (sin)半径とy座標の比 余弦 (cos)半径とx座標の比 正接 (tan)x座標とy座標の比 が決まります。 そこで,これら3つの三角比にはどのような関係があるのか求めることにしましょう。 結論を先に述べますと,次の3つが挙げられます。 では,これらの関係を証明してみましょう。 三角比の相互関係 三角比の相互関係は、単位円における三角比の定義式から簡単に導けます。 証明 単位円とその円周上の点 \(\mathrm{P}(x, y)\) において、正弦 (sin)半径とy座標の比 余弦 (cos)半径とx座標の比 正接 (tan)x座標とy座標の比 が決まります。 そこで,これら3つの三角比にはどのような関係があるのか求めることにしましょう。 結論を先に述べますと,次の3つが挙げられます。 まとめ2 では,これらの関係を証明してみましょう。 三角比の相互
現在地 と前後の項目 高校数学Iで登場する「三角比の相互関係」とは、次の2つの公式のことです。 sin 2 Acos 2 A=1 (1) sinAcosAnnnn (2) 三角比 sinA , cosA , tanA のうち1つ分かれば、残りはこれらの公式を使って「芋づる式に」求まります。 例えば、 sinA が分かれば (1)を使って cosA が求まり、さらに (2)を使って tanA が求まります。三角比の相互関係と証明高校数学Ⅱ コース やる気先生 逆転の数学Ⅱb 高校数学のインプット系講義です。数学Ⅱbの全範囲を網羅しています。初学者にもわかるように丁寧に解説し、中上級レベルの実力が養成できるように なって 三角比の相互関係 直角三角形と三角比の対応は下の図の通りでしたね。 これから、 y = rsinθ y = r sin θ と x = rcosθ x = r cos θ という式が得られます。 ちなみに、 y = sinθr y = sin



三角比の相互関係って 数学 現役理系大学生と勉強するブログ



三角比 180 8 90 8 90 8の公式の覚え方と使い方をイチから 数スタ
現在地 と前後の項目 高校数学Iで登場する「三角比の相互関係」とは、次の2つの公式のことです。 sin 2 A cos 2 A=1 (1) sin A cos Annnn (2) 三角比 sin A , cos A , tan A のうち1つ分かれば、残りはこれらの公式を使って「芋づる式に」求まります。 例えば鋭角の三角比の意味と相互関 三角比の定義と相互関係について 三角比の定義と相知 10 係について、理解させる。 理解し、三角比を使って測量の基本互関係を理解し、三小テスト 的な問題、三角比の相互関係につい角比の値を求めるこ定期考査ることがわかる「図による証明」を与える(1)(2)。 本稿に掲載した証明図において,各線分の長さを求めるには,(鋭角 に対する)以下 の「三角比の定義」と「三角比の基本関係式」,および「三角形の合同・相似に関する基 本的な知識」のみで十分である。



基本 三角比の相互関係 なかけんの数学ノート



数学 三角比の等式証明のやり方とコツ 教科書より詳しい高校数学
三角関数 sin θ, cos θ, tan θ \sin\theta,\cos\theta,\tan\theta sin θ, cos θ, tan θ の間には,上記のような3つの関係式が成立します。 これらの関係式のことを, 三角関数の相互関係 と言います。 このページでは,三角関数の相互関係の証明を2通り解説します。 → 三角関数の相互関係とその証明三角比・平面図形公式マインドマップ 三角比の定義,相互関係 a c I 拡張 b tan(90 P(cos ;sin ) 単位円 1 1 x y O O P sin cos 8 "三角関数 (三角比)の相互関係"の公式とその証明です! 三角関数 (三角比)の相互関係公式三角関数の相互関係 \(・sin^2θcos^2θ=1\) \(・tanθ=\frac{sinθ}{cosθ}\) \(・1tan^2θ=



三角 関数 公式 三角関数の角度の求め方を公式や計算問題を通して徹底解説 Amp Petmd Com



加法定理の証明 最重要公式 の解説と東大で出題された理由
三角比 ・三角比とは \(\sin\)(サイン)、\(\cos\)(コサイン)、\(\tan\)(タンジェント)とは何かとその覚え方を紹介 ・三角比基本公式3選 ・三角比の相互関係 ・鈍角の三角比 ・正弦定理の解説と証明 ・余弦定理の証明と使い方 ・接弦定理 ・三角形の面積(ヘロンの公式) ・ヘロンの公式の証明三角比の定義がもたらす概念理解 ~記号論的表現の視点から~ 宮 川 健 上越教育大学 1 はじめに 高等学校における指導内容の一つである 三角比の重要性は,解析や代数,幾何を学 習する上で言うまでもないであろう.しかと、悩んではいけませんよ! 三角形の面積公式を使うためには、2辺と間の角が必要になります。 なので、角Aの部分を使って計算を進めていきます。 角Bを使って面積を求めたければ 辺 の長さが必要になりますね。 このように与えられた情報から



三角比 サイン コサイン タンジェント とは 定義と相互関係 受験辞典



数学が得意な方に質問です 高校3年生の三角関数の相互関係の等式 Yahoo 知恵袋
三角比の相互関係を利用した等式の証明問題についての解説記事は,次の記事を参考にして下さい。 数学IA三角比を含む等式の証明 ここでは三角比を含む等式の証明について説明します。 三角比の相互関係や「グラグラするとかしないとか」を利用 三角比の重要公式とその証明を解説します。今回解説するのは以下の3つの式です。三角比相互関係の公式!$$\sin^2 θ\cos^2 θ=1・・・(1)$$$$\tan θ=\frac{\sin θ}{\cos θ}・・三角比の相互関係 三角比の相互関係として、代表的な 3 3 つの式があります。 必ず暗記しましょう。 sin2 θ cos2 θ = 1 sin 2 θ cos 2 θ = 1 tan θ = sin θ cos θ tan



高校 数学 三角関数16 相互関係と証明 13分 Youtube



三角比の相互関係 高校数学の無料オンライン学習サイトko Su
三角比の相互関係は三角関数の基本であることを忘れないでください。 直線の傾きとタンジェント \(\,2\,\)本の直線のなす角は三角関数になりますので、 ここでは原点を通る直線の傾きと\(\,x\,\)軸となす角をタンジェントで表しておきます。 一般に、三角形の面積 4 相互関係(鋭角) 11 正弦定理 5 鈍角の三角比 12 正弦定理と外接円 6 相互関係(鈍角) 13 余弦定理1 7 性質 14 余弦定理2 三角関数 1 一般角 6 2倍角の公式 2 三角関数の定義 7 合成 3 相互関係



高校数学 三角関数の相互関係を用いる証明 例題編 映像授業のtry It トライイット



数学ia 三角比の相互関係 大学入試数学の考え方と解法



三角 比 の 相互 関係 三角方程式の問題の解き方4タイプをイラスト付きで分かりやすく解説 Amp Petmd Com



三角 比 の 相互 関係 三角方程式の問題の解き方4タイプをイラスト付きで分かりやすく解説 Amp Petmd Com



三角比の相互関係 高校数学の無料オンライン学習サイトko Su



三角方程式の問題の解き方4タイプをイラスト付きで分かりやすく解説



高校数学 三角関数の相互関係を用いる証明 例題編 映像授業のtry It トライイット



三角比の相互関係と証明 高校数学 Youtube



三角比 の重要公式 証明もしっかり解説 Rikeinvest



公式証明道場2 三角比の相互関係 数学 Aで学びたい高校のnote塾 Note



三角関数の相互関係とその証明 高校数学の美しい物語



高校数学 三角比の相互関係1 図の利用 映像授業のtry It トライイット



相互関係を 図で解いちゃダメ は正しいか 怜悧玲瓏 高校数学を天空から俯瞰する



証明 三角比の相互関係 高校数学 公式の証明 4 Youtube



三角関数の相互関係とその証明 高校数学の美しい物語



数学ia 三角形に関する等式の証明 大学入試数学の考え方と解法



三角関数の相互関係 大学受験の王道



高校数学 90 8の三角比 映像授業のtry It トライイット



微分 三角関数の微分の公式の証明 高校数学マスマスター 学校や塾では教えてくれない 元塾講師の思考回路の公開



三角比 サイン コサイン タンジェント とは 定義と相互関係 受験辞典



三角 比 の 相互 関係 三角方程式の問題の解き方4タイプをイラスト付きで分かりやすく解説 Amp Petmd Com



2



高校数学 三角比からの角度の求め方1 Sin8 映像授業のtry It トライイット



三角関数の公式 図的理解



高校数学 三角比 Sin8 Cos8 Tan8 の相互関係4式の証明と利用 受験の月



Sin Cos Tan 三角比 三角関数の基礎をスタサプ講師がわかりやすく解説 高校生なう スタディサプリ進路 高校生に関するニュースを配信



数学 三角比 Sin Cos Tanの相互関係と覚え方 理系ラボ



高校数学 三角関数の相互関係を用いる証明 例題編 映像授業のtry It トライイット



2



三角 比 の 相互 関係 三角方程式の問題の解き方4タイプをイラスト付きで分かりやすく解説 Amp Petmd Com



三角比完全網羅 三角比 Sinとcosとtanの定義 覚え方 性質 定理 公式 合格サプリ



三角比 怜悧玲瓏 高校数学を天空から俯瞰する



三角比の公式をしっかり理解しよう スタディクラブ情報局



三角比の公式をしっかり理解しよう スタディクラブ情報局



単位円を導入したら即座に触れたいこと 怜悧玲瓏 高校数学を天空から俯瞰する



三角比の相互関係 公式3つの覚え方と使い方は 数スタ



数学 三角比 Sin Cos Tanの公式まとめ 表 変換 相互関係 面積 正弦定理 余弦定理 理系ラボ



三角比の表の値 Sincostan の覚え方を解説 単位円でマイナスも定義 遊ぶ数学



高校 数学 三角比9 相互関係 公式 14分 Youtube



三角比の公式をしっかり理解しよう スタディクラブ情報局



高校数学 三角比の等式を満たす三角形の形状決定 受験の月



高校数学 鈍角を含む三角比の相互関係1 図の利用 映像授業のtry It トライイット



高校数学 三角方程式 不等式 三角関数の相互関係による関数の統一 受験の月



三角比の相互関係の問題下の公式を使わずに三平方の定理を使って解くのはアリな Yahoo 知恵袋



3



数学ia 三角比を含む等式の証明 大学入試数学の考え方と解法



三角関数の相互関係



三角比の相互関係 公式3つの覚え方と使い方は 数スタ



三角比 サイン コサイン タンジェント とは 定義と相互関係 受験辞典



改訂版 4プロセス数学 P71 2 三角比の相互関係



三角比 180 8 90 8 90 8の公式の覚え方と使い方をイチから 数スタ



数2の三角関数の相互関係による式の変形の証明なんですが 2行目 Yahoo 知恵袋



高校数学 三角関数の相互関係 の公式とその証明 Enggy



三角関数の加法定理 倍角公式の利用 数学解説ブログ つくば市の 数学 算数 物理に強い プロ家庭教師 長通幸大 発信



数学 鈍角での三角比の相互関係の公式の使い方とコツ 教科書より詳しい高校数学



公式 三角比の相互関係式について 高校数学マスマスター 学校や塾では教えてくれない 元塾講師の思考回路の公開



三角比の公式をしっかり理解しよう スタディクラブ情報局



三角関数の相互関係 高校数学の無料オンライン学習サイトko Su



三角関数の相互関係とその証明 高校数学の美しい物語



三角比の相互関係とその使い方 高校数学の知識庫



三角比の相互関係って 数学 現役理系大学生と勉強するブログ



2と2 Clear



3



三角比 の重要公式 証明もしっかり解説 Rikeinvest



Studydoctor三角比の相互関係と証明 高校数学 Studydoctor



180 8の三角比 数学 苦手解決q A 進研ゼミ高校講座



数学 三角比 Sin Cos Tanの相互関係と覚え方 理系ラボ



三角比の相互関係 思考力を鍛える数学



15年07月 怜悧玲瓏 高校数学を天空から俯瞰する



三角比は8つある 怜悧玲瓏 高校数学を天空から俯瞰する



三角比 の重要公式 証明もしっかり解説 Rikeinvest



公式証明道場2 三角比の相互関係 数学 Aで学びたい高校のnote塾 Note



基本 三角比の相互関係 鈍角 なかけんの数学ノート



Studydoctor三角関数の式と値 高校数学 Studydoctor



高校数学 三角比 使って覚える三角比の基本公式 数学の面白いこと 役に立つことをまとめたサイト



数学 三角関数の公式まとめ 加法定理 変換 合成 理系ラボ



三角関数の公式の覚え方と導出のコツ一覧 丸暗記不要



証明 三角比の相互関係 高校数学 公式の証明 4 Youtube



三角 比 の 相互 関係 三角方程式の問題の解き方4タイプをイラスト付きで分かりやすく解説 Amp Petmd Com



三角関数 Wikipedia



高校数学 三角関数の相互関係を用いる証明 練習編 映像授業のtry It トライイット



高校数学 連立三角方程式 三角関数の相互関係 合成 加法定理の利用 受験の月



三角比の表の値 Sincostan の覚え方を解説 単位円でマイナスも定義 遊ぶ数学



3



公式証明道場2 三角比の相互関係 数学 Aで学びたい高校のnote塾 Note



1



三角関数 の基本的な定理とその有用性を再確認してみませんか その2 加法定理 二倍角 三倍角 半角の公式等 ニッセイ基礎研究所



公式 三角比の相互関係式について 高校数学マスマスター 学校や塾では教えてくれない 元塾講師の思考回路の公開



2



3倍角の公式の覚え方をマスターしよう 高校生 数学 公式 家庭教師のアルファ プロ講師による高品質指導



図形と計量 三角比の相互関係について その1 日々是鍛錬 ひびこれたんれん



三角比の相互関係の公式4つって 証明 覚え方 応用問題6選を解説 遊ぶ数学



三角 比 の 相互 関係 三角方程式の問題の解き方4タイプをイラスト付きで分かりやすく解説 Amp Petmd Com



有名角の三角比の指導手順 怜悧玲瓏 高校数学を天空から俯瞰する

コメント
コメントを投稿